https://www.acmicpc.net/problem/2617
2617번: 구슬 찾기
모양은 같으나, 무게가 모두 다른 N개의 구슬이 있다. N은 홀수이며, 구슬에는 번호가 1,2,...,N으로 붙어 있다. 이 구슬 중에서 무게가 전체의 중간인 (무게 순서로 (N+1)/2번째) 구슬을 찾기 위해서
www.acmicpc.net
구슬 찾기 문제는 그래프로 해결할 수 있습니다.
무게가 중앙값이 될 수 없는 구슬을 찾는 문제입니다.
따라서, 무게가 중앙값인 구슬은 본인보다 가벼운 구슬이 (n - 1) / 2개, 무거운 구슬이 (n - 1) / 2개 있어야 합니다.
따라서, 가벼운 구슬이 (n - 1) / 2개보다 많거나, 무거운 구슬이 (n - 1) / 2개보다 많은 구슬은 무게가 중앙값이 될 수 없습니다.

무게의 대소 비교는 그래프로 표현할 수 있습니다.
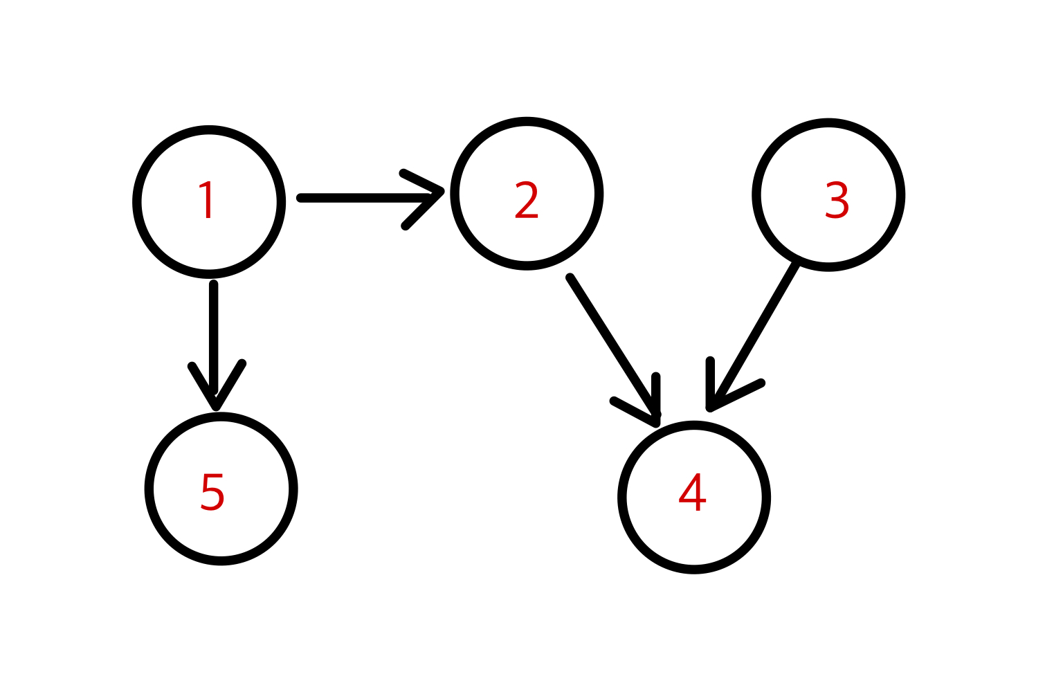
아래 그래프에서, (u, v)를 연결하는 엣지는 무게가 u < v임을 나타냅니다.
각 정점에서 BFS를 수행하면, 해당 구슬보다 무게가 무거운 구슬의 개수를 구할 수 있습니다.

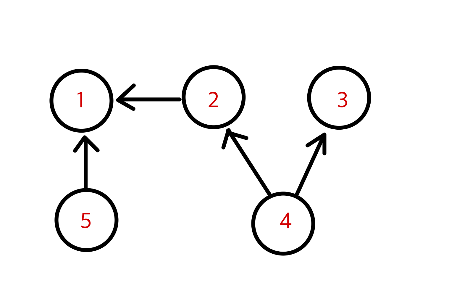
아래 그래프에서, (u, v)를 연결하는 엣지는 무게가 u > v임을 나타냅니다.
각 정점에서 BFS를 수행하면, 해당 구슬보다 무게가 가벼운 구슬의 개수를 구할 수 있습니다.

아래는 전체 코드입니다.
#include <bits/stdc++.h>
using namespace std;
#define MAX 100
int vis[MAX];
int bfs(vector<vector<int>> linked, int st){ // st 정점에서 출발했을 때, 방문 가능한 정점의 개수를 반환하는 함수
fill(vis, vis + MAX, 0);
queue<int> q;
vis[st] = 1;
q.push(st);
int cnt = 0;
while(!q.empty()){
int cur = q.front(); q.pop();
for(auto nxt : linked[cur]){
if(vis[nxt] != 0) continue;
q.push(nxt);
vis[nxt] = 1;
cnt++;
}
}
return cnt;
}
int main(){
ios::sync_with_stdio(0);
cin.tie(0);
int n, m; cin >> n >> m;
vector<vector<int>> in(n + 1); // (u, v)를 연결하는 엣지는 무게가 u > v임을 나타내는 그래프
vector<vector<int>> out(n + 1); // (u, v)를 연결하는 엣지는 무게가 u < v임을 나타내는 그래프
while(m--){
int u, v; cin >> u >> v;
in[u].push_back(v);
out[v].push_back(u);
}
int ans = 0;
for(int st = 1; st <= n; st++){ // 각 구슬에 대해 무거운 구슬과 가벼운 구슬의 개수를 구함
int big = bfs(out, st); // 무거운 구슬의 개수
int small = bfs(in, st); // 가벼운 구슬의 개수
// 무거운 구슬 또는 가벼운 구슬의 개수가 (n - 1)/2보다 많다면 무게가 중앙값인 구슬이 될 수 없음
if(big > ((n - 1)/2) || small > ((n - 1)/2)) ans++;
}
cout << ans << "\n";
}
아래는 문제 풀이에 사용된 테스트케이스입니다.
5 4
1 2
2 3
3 4
4 5
-> 4
4 3
1 2
2 3
3 4
-> 4'Algorithm > Graph' 카테고리의 다른 글
| [백준 1043번] 거짓말 (C++) (0) | 2022.06.03 |
|---|---|
| [백준 1707번] 이분 그래프 (C++) (0) | 2022.06.03 |